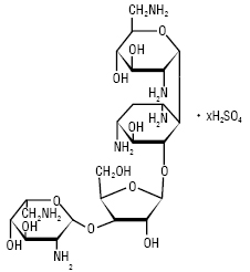
ФРАМІЦЕТИНУ СУЛЬФАТ (Framycetini sulfas), сульфат О-2,6-діаміно-2,6-дидеокси-α-D-глюкопіранозил-(1→4)-О-[O-2,6-діаміно-2,6-дидеокси-β-L-ідопіранозил-(1→3)-β-D-рибофуранозіл]-(1→5)-(2-деокси-D-стрептамін) (неоміцин В).
С23Н46N6О13•H2SO4 Мол. м. 614,6

АФІ мікробіологічного походження. Білий або жовтувато-білий порошок, гігроскопічний, легкорозчинний у воді, дуже малорозчинний у спирті, практично нерозчинний в ацетоні та етері. [α]20D = від +52,5° до +55,5° (10% водний розчин). Зберігають у щільно закупореному контейнері; у захищеному від світла місці.
Ідентифікують методом ТШХ; реакцією на сульфати. Кількісно визначають мікробіологічним методом.
Фармакологічна група. S01A A07; R01A X08; D09A A01 — антибіотики групи аміноглікозидів для місцевого застосування в оториноларингології.
Фармакологічні ефекти. Концентрація фраміцетину, що досягається при місцевому застосуванні, забезпечує його бактерицидну активність відносно грампозитивних і грамнегативних мікроорганізмів, що спричиняють інфекції ВДШ. Системна абсорбція низька.
Застосування. У складі комбінованої терапії при інфекційно-запальних захворюваннях ВДШ, зокрема, при риніті, ринофарингіті, синуситі. Запальні процеси після операційних втручань (профілактика і лікування).
Компендиум 2015 — лекарственные препараты / Под ред. В.Н. Коваленко. — К., 2015; От субстанции к лекарству / Под ред. В.П. Черных. — Х., 2005; Clarke’s isolation and identification of drugs / Editor A.C. Moffat. — London, 1986; European Pharmacopoeia 5; The Merk index: An Encyclopedia of chemicals, drugs and biological. 13 Ed. — 2001. — № 1.
